Slope of the polarization curve for the reduction of K3FeCN6. Potassium hexacyanoferrateIII Potassium cyanoferrate.

Direct Implementation Of K3fe Cn 6 As Cathode Materials Of Sodium Ion Batteries Sciencedirect

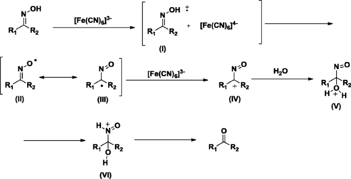
K3 Fe Cn 6 3h2o Supported On Silica Gel An Efficient And Selective Reagent For The Cleavage Of Oximes To Their Corresponding Carbonyl Compounds In Aqueous Medium Springerlink

Cyclic Voltammograms Of 1 0 Mm K3 Fe Cn 6 In 1 M Kcl At Different Scan Download Scientific Diagram
将32924 g 铁氰化钾溶于水定容至100 ml.

K3fe cn 6. For etching Ni Ni-Cu and Ni-Fe alloys and superalloys. 126 grams 42ml 210 grams 84 ml. Mo and alloys uses fresh and immerse.
K3FeCN6This is 100g Potassium Ferricyanide analytical grade supplied in a resealble doypack. Potassium ferricyanide is the chemical compound with the formula K 3 FeCN 6. Iron and steels reveals carbides.
Academiaedu is a platform for academics to share research papers. Pre-mix KOH and water before adding K3FeCN6. Samples were vacuum-infiltrated briefly at the To knock down the D53 gene the D53-RNA interference D53-RNAi vector initiation of staining with X-Gluc solution.
And 10 mM Na2-EDTA at 37 uC. 溶解性溶于水溶于丙酮微溶于醇 稳定性稳定禁配物强氧化剂强酸 避免接触的条件光照 外观与性状红色晶体. Add a few drops of H2SO4 to increase activity.
Wet Chemical Etching of Metals and Semiconductors. 但以溶液存在时就易和空气中的一些还原性杂质如h2sso2等作用而变质如kmno4na2s2so4k3fecn6等溶液 9非氧化还原反应 有些试剂的变质并非一定要引起元素价态的变化即发生非氧化还原反应也能使其失效. Potassium hexacyanoferrate III Medical Subject Headings MeSH 242 Depositor-Supplied Synonyms.
K3fecn6 式1 フェノール 4-アミノアンチピリン 着色イミン化合物 しかしその詳しい機構はネットでは見かけない. 通过降低反应体系中烯烃的浓度来减少锇酸酯2的生成或者通过加入甲基磺酰胺促进中间体1的快速分解均可显著改善该反应的对映体选择性但是目前OsO4-K3FeCN6 12组合试剂更适合用于外消旋非环状烯烃的对映体选择性二羟基化反应 参考文献. KaliumhexacyanidoferratIII ist ein Salz mit der Formeleinheit K 3 FeCN 6Es wird auch als Kaliumferricyanid Ferricyankalium Rotes Blutlaugensalz oder Rotkali bezeichnet.
It was discovered in 1822 by Leopold Gmelin. It was confirmed that Rct-1 was related to the reaction rate. Nach älterer Nomenklatur der IUPAC auch noch als KaliumhexacyanoferratIII.
Sections were washed in PBS and incubated for 30 min in PBS pH 55 and then incubated in an X-gal solution containing 4 mM K3FeCN 6 4 mM K4FeCN 6 2 mM MgCl2 002 NP-40 Igepal and 400 μgml X-gal 15520-018 Sigma in PBS. The theory to apply the diffusion impedance to the analysis of corrosion reaction was revealed. CuSO4 Hydrochloric acid Water.
H is oxidized and N is reduced N is oxidized and Cl is reduced N is oxidized and O is reduced. In the following redox reaction 4NH3 3CaClO2 2N2 6H2O 3CaCl2 which element is oxidized and which is reduced. Ni-Cu alloys for alpha phases use at 75 Celcius.
るためでferrocyanideはK2Zn3FeCN62の 沈殿と して反応系外にのぞかれる反 応2で生じるI2は 残存 ferricyanide量 に相当するからチオ硫酸ソーダの滴定 量の盲検からの差が消費ferricyanide量 に相当し試 料中の糖量に対応するものである. It is soluble in water and its solution shows some green-yellow fluorescence. 将1861 g Na2EDTA2H20溶于水调pH为80定容至100 ml.
The oxidation number of Fe in K3FeCN6 is 3 2 1-3-4. 10 Carbon with ultrahigh capacitance when graphene paper meets K3FeCN6 NANOSCALE 2015 通讯作者 11 A binary AxB1-x ionic alkaline pseudocapacitor system involving manganese iron cobalt and nickel. 10 grams 10 grams 100 ml.
将42239 g 亚铁氰化钾溶于水定容至100 ml. WC-Co and complex sintered carbides. Please scroll down to see how do we send our product to avoid any damage due a transport to meet best.
W and alloys use fresh and immerse. MolLKNO3 电解质溶液中6x10-3 molL K3FeCN6 Pt工作电极上的反应所得到的结果扫描速度. A comprehensive list of etchants for 44 different metals semiconductors and cleanroom materials.
The physical meanings of Rct and Rp in the diffusion impedance were discussed. Formation of electroactive colloids via in situ electric field assisted coprecipitation NANOSCALE 2015 通讯作者. Open abstract View article Structural Analysis of K4FeCN63H2O K3FeCN6 and Prussian Blue PDF Structural Analysis of K4FeCN63H2O K3FeCN6 and Prussian Blue XRD and XAS were used to characterize the bulk structure while XPS was used to characterize the surface structure of commercially obtained nominally K 4 FeCN 6 3H 2 O K 3 FeCN 6 and our synthesized Prussian.
Immerse or swab for 5-60 seconds. This bright red salt contains the octahedrally coordinated FeCN 6 3 ion. The pAct1D53-GFP pH 70 2 mM X-Gluc 05 mM K3FeCN6 05 mM K4FeCN6 01 Triton X-100 transgene was introduced into d3 and d14 backgrounds by genetic crosses.
Cr and alloys use fresh and immerse. Follow mixing directions listed on the product. 10 grams 50 ml 50 ml.
不过显然在某个电压下当前测试的电 流密度越大的那个其Jk 也就越大一般讨论的是某个半波电位处的Jk 另一种测定n 的方法是通过旋转圆盘圆环电极RRDE测试双氧水分解 RRDE 是双工作电极在环上施加恒定电压可以分解盘上产生的H2O2并达到极限扩散 对于CHI这里五根线里面黑色的. Die wässrige Lösung besitzt eine gelbe Farbe und zersetzt sich im Licht unter Bildung von EisenIII-hydroxid FeOH 3.
Carbon With Ultrahigh Capacitance When Graphene Paper Meets K3fe Cn 6 Nanoscale Rsc Publishing

K3 Fe Cn 6 3h2o Supported On Silica Gel An Efficient And Selective Reagent For The Cleavage Of Oximes To Their Corresponding Carbonyl Compounds In Aqueous Medium Springerlink

Redox Reactions Of K3 Fe Cn 6 During Mechanochemically Stimulated Phase Transitions Of Alooh Sciencedirect
Solved 21 What Is The Oxidation Number Of N In K3fe Cn6 1 Chegg Com

Potassium Ferrocyanide Structure And Uses K4 Fe Cn 6 3h2o Chemistry Compound Organic Youtube

Hybridization Of Fe In K3fe Cn 6 Is A Sp3 B D Sp3 C Sp3 D2 D D2 Sp3 Sahay Lms

Iupac Name Of K3 Fe Cn 6 Is

Synthetic Crystal K3 Fe Cn 6 Potassium Ferricyanide Isolated On The White Background Stock Photo Alamy